الإمارات ترسل عشرات الطائرات إلى “الدعم السريع” خلال أكتوبر فقط
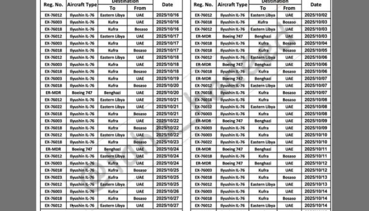
متابعات تاق برس- كشفت تقارير دولية موثوقة عن إرسال الإمارات عشرات الطائرات العسكرية إلى مليشيا الدعم السريع خلال شهر أكتوبر الماضي، محمّلة بأسلحة وذخائر ومعدات قتالية، في خرق واضح لحظر توريد السلاح المفروض على السودان بموجب قرارات مجلس الأمن الدولي.
ووفقاً للوثائق التي رصدتها منصات مراقبة الطيران وعدد من وسائل الإعلام الدولية، انطلقت الرحلات من مطارات إماراتية نحو مناطق النزاع في دارفور عبر مسارات جوية مرت بتشاد وليبيا قبل الوصول إلى وجهاتها داخل الأراضي السودانية.
وأظهرت البيانات أن الشحنات تضمنت أسلحة خفيفة ومتوسطة وطائرات مسيّرة وقطع غيار عسكرية، وتزامن وصولها مع تصاعد الهجمات الوحشية التي نفذتها قوات الدعم السريع على مدينة الفاشر وعدد من مدن إقليم دارفور.
وأكدت تقارير المراقبة أن العملية تُعد من أضخم عمليات الإمداد العسكري لقوة غير نظامية في أفريقيا خلال عام 2025، مشيرة إلى أن حجم ونوعية الأسلحة تعكسان مستوى الانخراط الخارجي في الصراع السوداني.
في السياق نفسه، دعت منظمات حقوقية وجهات سياسية سودانية إلى تحقيق دولي عاجل حول ما وصفته بـ”الانتهاك الصريح للقانون الدولي”، مطالبة بمساءلة الأطراف المتورطة في تغذية الحرب التي أودت بحياة آلاف المدنيين وتسببت في كارثة إنسانية واسعة.
